Abstract
-
Background
- The recent recognition of human epidermal growth factor receptor 2 (HER2)–low and HER2-ultralow breast cancers (BCs) has expanded the therapeutic relevance of HER2 testing in the antibody-drug conjugate era. However, the biological continuum of HER2 expression measured by immunohistochemistry (IHC) and its relationship with the HER2 gene copy number remain unclear.
-
Methods
- We retrospectively analyzed 135 HER2-negative invasive BCs and reclassified them as HER2-null (IHC 0), HER2-ultralow (0+), or HER2-low (1+ or 2+ without amplification). HER2 gene copy number was determined using silver-enhanced in situ hybridization. Statistical analyses were performed to compare HER2 copy number among IHC categories and evaluate the discriminatory value of HER2 copy number for distinguishing IHC subgroups.
-
Results
- The mean HER2 copy number increased stepwise across IHC categories: 1.95 ± 0.54 (null), 2.03 ± 0.43 (ultralow), 2.25 ± 0.65 (low, 1+), and 3.29 ± 1.05 (low, 2+). Significant differences were observed between the ultralow and low groups (p = .003) and between the null and low groups (p < .001), but not between the null and ultralow groups or between the ultralow and 1+ groups.
-
Conclusions
-
HER2 gene copy number was positively correlated with protein expression as reflected by IHC categories. Although HER2 gene copy number was statistically higher in HER2-low than in HER2-null tumors, the substantial overlap in copy number ranges likely limits its utility in distinguishing HER2-low from HER2-null BCs.
-
Keywords: Breast neoplasms; Genes, erbB-2; In situ hybridization; DNA copy number variations; trastuzumab deruxtecan
Graphical abstract
INTRODUCTION
- Human epidermal growth factor receptor 2 (HER2) status is a critical biomarker in breast cancer (BC), guiding both treatment decisions and prognostic evaluations [1,2]. Traditionally, based on immunohistochemistry (IHC) and in situ hybridization (ISH) assays, HER2 status has been classified as negative (IHC score 0, 1+, or 2+ with ISH-negative for gene amplification) or positive (score 3+ or 2+ with ISH-positive) [3-5]. HER2-targeted therapies have primarily benefited patients with HER2-positive tumors [6,7], while cases of HER2-negative BC have been managed with conventional chemotherapy and, in hormone receptor (HR)–positive cases, endocrine therapy.
- Recently, a new subset of HER2-expressing tumors (HER2-low tumors) has been recognized [8]. This category includes tumors with IHC scores of 1+ or 2+ with ISH negativity. The clinical relevance of HER2-low tumors has grown with the development of novel antibody-drug conjugates (ADCs), such as trastuzumab deruxtecan (T-DXd), which have demonstrated efficacy in treating HER2-low BC [9,10]. Consequently, the distinction between HER2 0 and 1+ has become increasingly important in pathology practice, as it affects the eligibility of patients for HER2-targeted therapies [11,12]. Similarly, differentiating between HER2 1+ and 2+ is now more clinically relevant, as it affects both treatment decisions and the necessity for reflex ISH testing in HER2 2+ cases.
- As the therapeutic landscape expands, recent evidence has shown that T-DXd may also be effective in HER2-ultralow tumors with minimal but detectable HER2 expression, extending the potential benefit of ADCs beyond the traditional HER2-low category [13]. This finding has brought renewed attention to the HER2 IHC 0 group, suggesting that it is not a uniform population. The finding underscores the importance of further subclassifying IHC score 0 into HER2-null (0/absent membrane staining) and HER2-ultralow (0+/with membrane staining) [14]. This evolving classification represents a significant shift and a major diagnostic challenge in pathology, requiring more refined interpretation of HER2 IHC staining. Given that patients with HER2-null tumors and those with HER2-ultralow tumors may not derive the same therapeutic benefits, precise and reproducible classification is essential for optimizing treatment strategies and expanding access to emerging HER2-targeted therapies. However, a comparably high variability for HER2-low or HER2-ultralow between pathologists has been reported in retrospective studies [15-17], and the quality assurance results are still lower compared with classical HER2 proficiency tests focusing on HER2 3+ tumors [18].
- Despite the increasing clinical relevance of HER2-low and HER2-ultralow classifications, the biological continuum of HER2 expression, from truly negative (HER2-null) to minimally positive (HER2-ultralow and low), remains insufficiently understood. In addition, although only a few recent studies have explored this topic [15,16,19], the correlation between HER2 protein expression and HER2 gene copy number assessed by ISH has not been clearly established. Elucidating this relationship will be essential for refining diagnostic thresholds and enhancing the accuracy and reproducibility of HER2 classification in clinical practice.
- In this study, we analyzed the distribution of HER2 gene copy numbers across IHC categories to determine whether quantitative assessments of HER2 gene status could support more precise classification of HER2-null, HER2-ultralow, and HER2-low tumors, with potential implications for ADC therapy.
MATERIALS AND METHODS
- Case selection
- This study included patients diagnosed with invasive BC who underwent surgery between April and August 2023 at Yeungnam University Hospital (YUH) in Daegu, South Korea. Patients who had received neoadjuvant systemic therapy or presented with tumors measuring less than 0.5 cm were excluded. HER2 IHC was performed using the 4B5 clone antibody (Ventana Medical Systems, Tucson, AZ, USA) on a Ventana autostainer, following standard protocols. HER2 protein expression was interpreted as 0, 1+, 2+, or 3+ according to the 2018 American Society of Clinical Oncology/College of American Pathologists (ASCO/CAP) guidelines [5]. At the time of diagnosis, cases with a score of 2+ underwent reflex silver-enhanced in situ hybridization (SISH) using the INFORM HER2 DNA probe (Ventana Medical Systems) to determine HER2 gene amplification status. For cases with IHC results available from both core needle biopsy and surgical specimens, the score from the surgical specimen was considered the representative value. Cases classified as HER2-negative (IHC 0, 1+, or 2+ with SISH-negative) were included in the study, whereas those with IHC 3+ or 2+ with SISH positivity (indicating gene amplification) were excluded.
- In this study, IHC slides were reviewed by an experienced pathologist (Y.K.B.), and cases originally reported as score 0 (HER2-zero) were reclassified as HER2-null (IHC 0/absent membrane staining) or HER2-ultralow (IHC 0+/incomplete and faint/barely perceptible membrane staining in ≤10% of tumor cells) [14].
- HER2 SISH
- The average HER2 gene copy numbers for IHC 2+ cases were obtained from pathology reports. In this study, SISH was performed on surgical specimens of cases with IHC scores of 0, 0+, or 1+. HER2 and CEP17 signals were counted in at least 20 non-overlapping nuclei of invasive tumor cells, with IHC categories blinded during the assessment. The average HER2 copy number per cell and the HER2/CEP17 ratio were calculated in accordance with the 2018 ASCO/CAP guidelines [5].
- Statistical analysis
- All statistical analyses were conducted using SPSS ver. 29.0 for Windows (IBM Corp., Armonk, NY, USA). After exploratory data analysis, differences in the average HER2 gene copy number among the IHC category groups were assessed using the Kruskal-Wallis test. A p-value <.05 was considered statistically significant. Post hoc pairwise comparisons were conducted using the Mann-Whitney U test with the Bonferroni method. The adjusted significance level was determined by dividing 0.05 by the number of pairwise comparisons. Receiver operating characteristic (ROC) curve analyses were performed to determine potential cutoff values for distinguishing HER2-low (1+ or 2+) from HER2-zero BCs. The area under the curve (AUC) was interpreted as follows: 0.6–0.7 indicated poor discrimination, 0.7–0.8 acceptable, 0.8–0.9 good, and ≥0.9 excellent overall performance.
RESULTS
- Study population and clinicopathologic characteristics
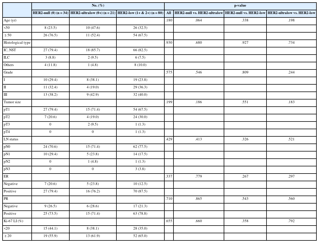
- During the study period, 176 patients were diagnosed with BC and underwent surgery. Of these, 15 patients were excluded due to HER2 positivity, 16 due to the unavailability of HER2 IHC slides, and 10 because their tumors measured less than 0.5 cm, resulting in a final study population of 135 patients. The distribution of HER2 IHC scores in the study cohort was as follows: HER2 0 in 34 patients (25.2%), 0+ in 21 (15.6%), 1+ in 50 (37.0%), and 2+ in 30 (22.2%). Clinicopathologic characteristics of the patients are summarized in Table 1. All variables, including age, histologic type, histologic grade, tumor size, lymph node status, HR expression, and Ki-67 labeling index, did not differ significantly among the HER2-null (0), HER2-ultralow (0+), and HER2-low (1+ and 2+) groups (Table 2).
- Comparison of HER2 gene copy number according to HER2 IHC categories
- The mean HER2 gene copy number was 1.95 ± 0.54 (range, 1.05 to 3.65) in the HER2-null (IHC 0) group, 2.03 ± 0.43 (range, 1.50 to 3.45) in the HER2-ultralow (0+) group, and 2.64 ± 0.96 (range, 1.15 to 5.75) in the HER2-low (1+ or 2+) group. Within the HER2-low group, the mean values were 2.25 ± 0.65 (range, 1.15 to 4.55) for the IHC 1+ subgroup and 3.29 ± 1.05 (range, 1.80 to 5.75) in the IHC 2+ subgroup. Notably, the ranges of HER2 gene copy numbers were broad and exhibited considerable overlap. Representative hematoxylin and eosin, HER2 IHC, and SISH images from cases corresponding to each HER2 IHC category are shown in Fig. 1.
- In the statistical analyses, HER2 gene copy numbers differed significantly among the HER2-null, HER2-ultralow, and HER2-low groups (p < .001). Pairwise comparisons were performed using the Mann-Whitney U test. A total of three post hoc comparisons were conducted (null vs. ultralow, ultralow vs. low, and null vs. low), and the significance threshold was adjusted to p < .017 (0.05/3) using Bonferroni’s method. Statistically significant differences were observed between the ultralow and low groups (p = .003) and between the null and low groups (p < .001). However, no significant difference was found between the null and ultralow groups (p = .110) (Fig. 2A).
- When the HER2-low category was further subdivided into IHC 1+ and IHC 2+ subgroups, the HER2 copy number differed significantly among the four groups (p < .001). Pairwise comparisons, with an adjusted significance threshold of p < .008 (0.05/6) revealed statistically significant differences between the following pairs: HER2-null vs. IHC 1+ (p = .003), HER2-null vs. IHC 2+ (p < .001), HER2-ultralow vs. IHC 2+ (p < .001), and IHC 1+ vs. IHC 2+ (p < .001). No significant difference was observed between the HER2-ultralow and IHC 1+ (p = .173) (Fig. 2B).
- When HER2 0 and 0+ scores were combined as HER2-zero, HER2 gene copy numbers differed significantly among the three groups (p < .001). In the post hoc analysis (adjusted p < .017 [0.05/3]), significant differences in HER2 copy number were found between HER2-zero vs. IHC 1+ (p = .006) and between HER2-zero vs. IHC 2+ (p < .001) (Fig. 2C).
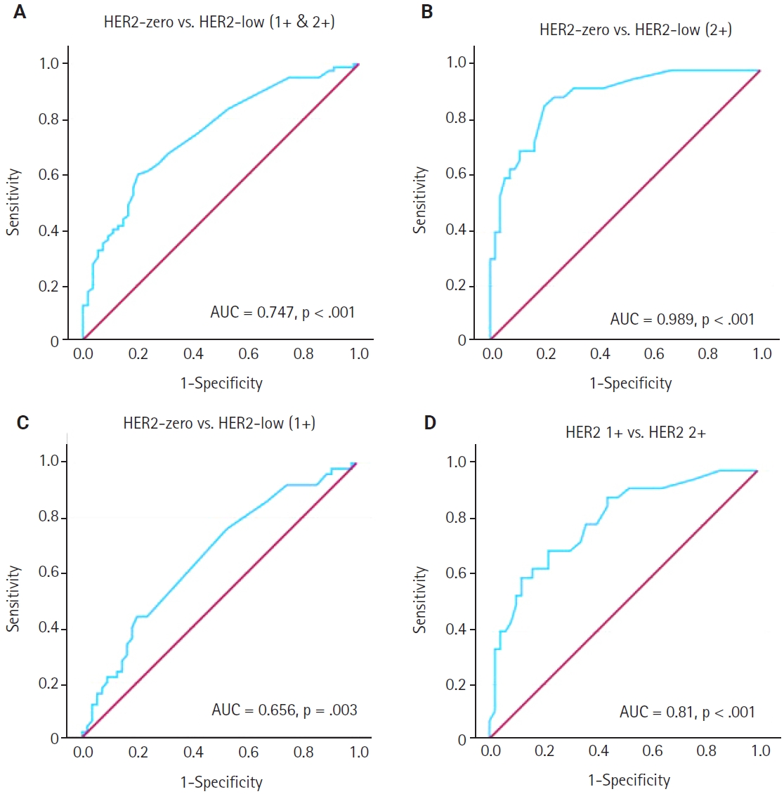
- ROC curve analysis
- Because no significant difference was observed in HER2 copy number between the HER2-null and HER2-ultralow groups, ROC curve analyses were conducted to evaluate the predictive performance of HER2 copy number in distinguishing HER2-zero (IHC 0 or 0+) from HER2-low (IHC 1+ or 2+) groups. The optimal cutoff value, determined using the Youden Index, was 2.125, yielding 60% sensitivity and 80% specificity. These results indicate that patients with a HER2 copy number ≥ 2.125 are more likely to exhibit HER2-low status. The AUC for this classification was 0.747, indicating acceptable predictive performance (95% confidence interval [CI], 0.664 to 0.830; p < .001) (Fig. 3A).
- Subgroup analyses were also conducted. The ROC curve analysis comparing HER2-zero and IHC 2+ groups identified an optimal cutoff value of 2.125, with an AUC of 0.898 (95% CI, 0.832 to 0.965; p < .001), reflecting good predictive capability (Fig. 3B). In contrast, the AUC for distinguishing HER2-zero from IHC 1+ was 0.656 (95% CI, 0.552 to 0.760; p = .003), indicating poor discrimination (Fig. 3C). To distinguish between IHC 1+ and IHC 2+, the optimal threshold was 2.625, yielding 70% sensitivity and 78% specificity, with an AUC of 0.809 (95% CI, 0.712 to 0.906; p < .001) (Fig. 3D).
DISCUSSION
- This study demonstrated that the majority of HER2-negative BCs exhibited either HER2-low (59%) or HER2-ultralow (16%) expression patterns. Only a quarter of HER2-negative BCs were classified as HER2-null. In the comparative analysis of clinicopathologic features with varying HER2 expressions, no significant differences were observed in clinicopathological variables, including age, histologic type, tumor size, lymph node status, HR expression, and the Ki-67 labeling index. This result aligns with previous observations that HER2-low and HER2-ultralow BCs may not represent independent biological subtypes [16,20]. Unlike previous studies [16,20], the lack of a significant correlation between HER2 expression levels and HR status in our cohort may be explained by our study design, which excluded patients with HER2-positive BC and those who underwent surgery after neoadjuvant systemic therapy. This exclusion likely resulted in the underrepresentation of HR-negative patients in our cohort, thereby limiting our ability to replicate the associations reported in earlier studies.
- With the recent demonstration that T-DXd is effective not only in HER2-low but also in HER2-ultralow BCs [13], the distinction between HER2-null and HER2-ultralow, rather than between HER2-zero and 1+, has emerged as a major diagnostic challenge for pathologists. In the study by Baez-Navarro et al. [15], pathologists achieved much higher diagnostic agreement when they grouped ultralow, 1+, and 2+ and separated them from the null group, compared with analyzing all IHC categories separately (74.3% vs. 9.5%). When null and ultralow were combined into one group and 1+ and 2+ into another, the agreement rate was 52.4%. Gao et al. [16] also reported that simplified categorization of HER2 IHC (HER2-detected vs. undetected) improved concordance to 84.8%, compared with 69.7% when all subcategories (HER2-undetected, HER2-ultralow, and HER2-low) were considered separately. These findings suggest that interobserver agreement in HER2 IHC interpretation peaks when an “all-or-nothing” principle is applied.
- This study aimed to determine whether HER2 copy numbers determined by SISH could improve discrimination among different HER2 IHC groups (HER2-null vs. ultralow, ultralow vs. 1+, and 1+ vs. 2+). However, the mean HER2 copy number did not differ significantly between the HER2-null and ultralow groups or between the ultralow and 1+ groups, whereas significant differences were found between the 1+ and 2+ groups and between the HER2-null and HER2-low (1+ or 2+) groups. This finding suggests that HER2-ultralow cancers may not constitute a distinct molecular entity but rather exist along a biological continuum of HER2 expression, marked by subtle variations at the protein level without corresponding changes in gene copy number.
- Our results are partly consistent with, but also differ from previous reports [15,16,19]. For example, Baez-Navarro et al. [15,19] found no statistically significant differences in the mean HER2 copy number between IHC 0 and 1+, regardless of whether the ultralow group was included (null/ultralow vs. 1+ or null vs. 1+), which contrasts with our finding of significantly higher HER2 copy numbers in 1+ compared with HER2-null tumors. In contrast, they reported results consistent with ours in that HER2-ultralow tumors displayed intermediate values without statistical significance when compared with either HER2-null or 1+. Gao et al. [16] reported results consistent with our findings and partly consistent with those of Baez-Navarro et al. [19], showing that HER2-low BCs had significantly higher HER2 copy numbers than their HER2-null counterparts, whereas HER2-ultralow tumors showed intermediate values without statistically significant differences when compared with either HER2-null or HER2-low tumors. However, they observed HER2 copy number variations across varying HER2 expression subgroups in HR-negative tumors, but not in HR-positive tumors. In our study, we did not perform subgroup analyses by HR status because the majority of our cases (84%) were HR-positive, and the number of HR-negative cases (n = 22) was too small to yield meaningful results.
- Unlike other studies that employed fluorescence in situ hybridization (FISH), we used SISH. Notably, the mean HER2 copy numbers observed in each IHC group were slightly higher than those reported in previous FISH-based studies [15,16,19] (HER2-null: 1.95 ± 0.54 vs. 1.88 ± 0.23; ultralow: 2.03 ± 0.43 vs. 1.97 ± 0.28; low: 2.64 ± 0.96 vs. 2.04 ± 0.33). This discrepancy may be attributable to the advantages of bright-field ISH, which facilitates clear visualization of tumor cell morphology and more accurate signal enumeration within invasive tumor areas.
- In a previous study analyzing the HER2 IHC score and mRNA expression [19], a significant difference in mRNA expression was observed between the HER2-null and 1+ groups, whereas no significant differences were found between HER2-null and ultralow or between ultralow and 1+. These findings are closely aligned with our HER2 copy number results. Similar findings were reported by Yue et al. [21], except that they detected a significant difference in mRNA expression levels between the ultralow and 1+ groups. Shu et al. [22] reported that HER2 1+ tumors were more similar to HER2 0 tumors than to HER2 2+ tumors, due to diverse clinicopathologic factors and overlapping HER2 mRNA levels, suggesting that the current definition of HER2-low expression, with the lower boundary set at IHC 1+, may be inaccurate. However, HER2-low BC has not been regarded as an independent biological subtype, as no substantial molecular differences between HER2-low and HER2-0 tumors have been demonstrated after adjusting for HR expression [11]. Consequently, HER2-low should be considered a heterogeneous group that requires distinction from HER2-null because of its potential implications for ADC therapy.
- Although neither our study nor previous studies [15,16,19,21] have demonstrated statistically significant differences in the HER2 gene copy number or mRNA expression between HER2-null and ultralow tumors or between ultralow and 1+ tumors, both measures exhibited a stepwise increase, being higher in the ultralow group than in the HER2-null group, and higher still in the 1+ group compared with the ultralow group. These findings support the notion that HER2 protein expression is correlated with both mRNA expression and gene copy number. However, HER2 expression is regulated by a complex interplay of genomic, transcriptional, and post-translational mechanisms, including mRNA transcription efficiency, receptor recycling, and degradation processes. Therefore, assessing HER2 copy number alone as an indicator of HER2 IHC categorization constitutes a limitation of this study.
- In conclusion, our study demonstrated that the HER2 gene copy number is positively correlated with HER2 protein expression as reflected by IHC categories. Although the HER2 gene copy number was statistically higher in HER2-low than in HER2-null BCs, the broad overlap in signal ranges limits its ability to reliably distinguish between these two categories. Future studies with larger cohorts and the integration of artificial intelligence–assisted image analysis are warranted to validate these findings and further clarify the clinical applicability of the HER2 gene copy number in predicting responsiveness to ADC therapy.
Ethics Statement
This study was approved by the Institutional Review Board of YUH (IRB No. 2025-03-057), which waived the requirement for informed consent.
Availability of Data and Material
The datasets generated or analyzed during the study are available from the corresponding author on reasonable request.
Code Availability
Not applicable.
Author Contributions
Conceptualization: YKB. Data curation: MCK, YKB. Formal analysis: MCK, YKB. Investigation: YKB. Methodology: MCK, YKB. Writing—original draft: MCK, YKB. Writing—review & editing: YKB. Approval of final manuscript: all authors.
Conflicts of Interest
Y.K.B., a contributing editor of the Journal of Pathology and Translational Medicine, was not involved in the editorial evaluation or decision to publish this article. The remaining author has declared no conflicts of interest.
Funding Statement
No funding to declare.
Fig. 1.Representative hematoxylin and eosin (H&E), human epidermal growth factor receptor 2 (HER2) immunohistochemistry (IHC), and HER2 silver-enhanced in situ hybridization (SISH) images from cases corresponding to each HER2 IHC category. The mean HER2 gene copy numbers for IHC 0, 0+, 1+, and 2+ cases were 1.95, 2.03, 2.25, and 3.29, respectively.
Fig. 2.Comparison of human epidermal growth factor receptor 2 (HER2) gene copy number among different HER2 immunohistochemistry (IHC) categories. (A) Comparison among HER2-null (IHC 0), HER2-ultralow (0+), and HER2-low (1+ or 2+) groups. (B) Comparison among HER2-null (IHC 0), HER2-ultralow (0+), HER2 IHC 1+ and HER2 IHC 2+ groups. (C) Comparison among HER2-zero (IHC 0 and 0+), HER2 IHC 1+ and HER2 IHC 2+ groups.
Fig. 3.Receiver operating characteristic curve analysis evaluating the predictive performance of the human epidermal growth factor receptor 2 (HER2) copy number in distinguishing (A) between the HER2-zero and HER2-low (immunohistochemistry 1+ or 2+) groups, (B) the HER2-zero and 2+ groups, (C) the HER2-zero and 1+ groups, and (D) the 1+ and 2+ groups. AUC, area under the curve.
Table 1.Baseline characteristics of the study population
|
Characteristic |
No. (%) |
|
Age (yr) |
|
|
<50 |
44 (32.6) |
|
≥50 |
91 (67.4) |
|
Histological type |
|
|
IC, NST |
111 (82.2) |
|
ILC |
11 (8.1) |
|
Others |
13 (9.6) |
|
Grade |
|
|
I |
37 (27.4) |
|
II |
44 (32.6) |
|
III |
54 (40.0) |
|
Tumor size |
|
|
pT1 |
96 (71.1) |
|
pT2 |
35 (25.9) |
|
pT3 |
3 (2.2) |
|
pT4 |
1 (0.7) |
|
LN status |
|
|
pN0 |
101 (74.8) |
|
pN1 |
29 (21.5) |
|
pN2 |
2 (1.5) |
|
pN3 |
3 (2.2) |
|
ER |
|
|
Negative |
22 (16.3) |
|
Positive |
113 (83.7) |
|
PR |
|
|
Negative |
32 (23.7) |
|
Positive |
103 (76.3) |
|
HER2 IHC score |
|
|
0 |
34 (25.2) |
|
0+ |
21 (15.6) |
|
1+ |
50 (37.0) |
|
2+ |
30 (22.2) |
|
Ki-67 LI (%) |
|
|
<20 |
51 (37.8) |
|
≥20 |
84 (62.2) |
|
Total |
135 (100) |
Table 2.Comparison of clinicopathologic characteristics according to HER2 protein expression status in HER2-negative breast cancers
|
No. (%) |
p-value |
|
HER2-null (0) (n = 34) |
HER2-ultralow (0+) (n = 21) |
HER2-low (1+ & 2+) (n = 80) |
All |
HER2-null vs. HER2-ultralow |
HER2-null vs. HER2-low |
HER2-ultralow vs. HER2-low |
|
Age (yr) |
|
|
|
.180 |
.064 |
.338 |
.198 |
|
<50 |
8 (23.5) |
10 (47.6) |
26 (32.5) |
|
|
|
|
|
≥50 |
26 (76.5) |
11 (52.4) |
54 (67.5) |
|
|
|
|
|
Histological type |
|
|
|
.930 |
.680 |
.927 |
.734 |
|
IC, NST |
27 (79.4) |
18 (85.7) |
66 (82.5) |
|
|
|
|
|
ILC |
3 (8.8) |
2 (9.5) |
6 (7.5) |
|
|
|
|
|
Others |
4 (11.8) |
1 (4.8) |
8 (10.0) |
|
|
|
|
|
Grade |
|
|
|
.575 |
.546 |
.809 |
.244 |
|
I |
10 (29.4) |
8 (38.1) |
19 (23.8) |
|
|
|
|
|
II |
11 (32.4) |
4 (19.0) |
29 (36.3) |
|
|
|
|
|
III |
13 (38.2) |
9 (42.9) |
32 (40.0) |
|
|
|
|
|
Tumor size |
|
|
|
.199 |
.186 |
.551 |
.183 |
|
pT1 |
27 (79.4) |
15 (71.4) |
54 (67.5) |
|
|
|
|
|
pT2 |
7 (20.6) |
4 (19.0) |
24 (30.0) |
|
|
|
|
|
pT3 |
0 |
2 (9.5) |
1 (1.3) |
|
|
|
|
|
pT4 |
0 |
0 |
1 (1.3) |
|
|
|
|
|
LN status |
|
|
|
.429 |
.413 |
.326 |
.521 |
|
pN0 |
24 (70.6) |
15 (71.4) |
62 (77.5) |
|
|
|
|
|
pN1 |
10 (29.4) |
5 (23.8) |
14 (17.5) |
|
|
|
|
|
pN2 |
0 |
1 (4.8) |
1 (1.3) |
|
|
|
|
|
pN3 |
0 |
0 |
3 (3.8) |
|
|
|
|
|
ER |
|
|
|
.337 |
.779 |
.267 |
.297 |
|
Negative |
7 (20.6) |
5 (23.8) |
10 (12.5) |
|
|
|
|
|
Positive |
27 (79.4) |
16 (76.2) |
70 (87.5) |
|
|
|
|
|
PR |
|
|
|
.710 |
.865 |
.543 |
.560 |
|
Negative |
9 (26.5) |
6 (28.6) |
17 (21.3) |
|
|
|
|
|
Positive |
25 (73.5) |
15 (71.4) |
63 (78.8) |
|
|
|
|
|
Ki-67 LI (%) |
|
|
|
.655 |
.660 |
.358 |
.792 |
|
<20 |
15 (44.1) |
8 (38.1) |
28 (35.0) |
|
|
|
|
|
≥20 |
19 (55.9) |
13 (61.9) |
52 (65.0) |
|
|
|
|
REFERENCES
- 1. Ross JS, Fletcher JA, Linette GP, et al. The HER-2/neu gene and protein in breast cancer 2003: biomarker and target of therapy. Oncologist 2003; 8: 307-25. ArticlePubMedPDF
- 2. Harris L, Fritsche H, Mennel R, et al. American Society of Clinical Oncology 2007 update of recommendations for the use of tumor markers in breast cancer. J Clin Oncol 2007; 25: 5287-312. ArticlePubMed
- 3. Wolff AC, Hammond ME, Hicks DG, et al. Recommendations for human epidermal growth factor receptor 2 testing in breast cancer: American Society of Clinical Oncology/College of American Pathologists clinical practice guideline update. J Clin Oncol 2013; 31: 3997-4013. ArticlePubMed
- 4. Wolff AC, Hammond ME, Schwartz JN, et al. American Society of Clinical Oncology/College of American Pathologists guideline recommendations for human epidermal growth factor receptor 2 testing in breast cancer. J Clin Oncol 2007; 25: 118-45. ArticlePubMed
- 5. Wolff AC, Hammond ME, Allison KH, et al. Human epidermal growth factor receptor 2 testing in breast cancer: American Society of Clinical Oncology/College of American Pathologists clinical practice guideline focused update. J Clin Oncol 2018; 36: 2105-22. ArticlePubMed
- 6. Early Breast Cancer Trialists’ Collaborative Group (EBCTCG). Trastuzumab for early-stage, HER2-positive breast cancer: a meta-analysis of 13 864 women in seven randomised trials. Lancet Oncol 2021; 22: 1139-50. ArticlePubMedPMC
- 7. Slamon D, Eiermann W, Robert N, et al. Adjuvant trastuzumab in HER2-positive breast cancer. N Engl J Med 2011; 365: 1273-83. ArticlePubMedPMC
- 8. Tarantino P, Hamilton E, Tolaney SM, et al. HER2-low breast cancer: pathological and clinical landscape. J Clin Oncol 2020; 38: 1951-62. ArticlePubMed
- 9. Modi S, Park H, Murthy RK, et al. Antitumor activity and safety of trastuzumab deruxtecan in patients with HER2-low-expressing advanced breast cancer: results from a phase Ib study. J Clin Oncol 2020; 38: 1887-96. ArticlePubMedPMC
- 10. Modi S, Jacot W, Yamashita T, et al. Trastuzumab deruxtecan in previously treated HER2-low advanced breast cancer. N Engl J Med 2022; 387: 9-20. ArticlePubMedPMC
- 11. Tarantino P, Viale G, Press MF, et al. Esmo expert consensus statements (ECS) on the definition, diagnosis, and management of HER2-low breast cancer. Ann Oncol 2023; 34: 645-59. ArticlePubMed
- 12. Wolff AC, Somerfield MR, Dowsett M, et al. Human epidermal growth factor receptor 2 testing in breast cancer: ASCO-College of American Pathologists guideline update. J Clin Oncol 2023; 41: 3867-72. ArticlePubMed
- 13. Bardia A, Hu X, Dent R, et al. Trastuzumab deruxtecan after endocrine therapy in metastatic breast cancer. N Engl J Med 2024; 391: 2110-22. ArticlePubMed
- 14. College of American Pathologists. Reporting template for reporting results of biomarker testing of specimens from patients with carcinoma of the breast, version: 1.6.0.0 [Internet]. Northfield: College of American Pathologists, 2025 [cited 2025 Jul 1]. Available from: https://documents.cap.org/documents/New-Cancer-Protocols-March-2025/Breast.Bmk_1.6.0.0.REL.CAPCP.pdf.
- 15. Baez-Navarro X, van Bockstal MR, Nawawi D, et al. Interobserver variation in the assessment of immunohistochemistry expression levels in HER2-negative breast cancer: can we improve the identification of low levels of HER2 expression by adjusting the criteria? An international interobserver study. Mod Pathol 2023; 36: 100009.ArticlePubMed
- 16. Gao Y, Hong R, Wang J, Pang J, Wu S, Liang Z. Molecular and clinicopathological characteristics of invasive breast cancers with HER2-ultralow expression. Hum Pathol 2025; 158: 105796.ArticlePubMed
- 17. Kim MC, Cho EY, Park SY, et al. A nationwide study on HER2-low breast cancer in South Korea: its incidence of 2022 real world data and the importance of immunohistochemical staining protocols. Cancer Res Treat 2024; 56: 1096-104. ArticlePubMedPMCPDF
- 18. Denkert C, Sperling F, Pehl A, et al. Report of a national external quality assessment program for HER2-low expression in breast cancer-options for increased accuracy with standardized methodology. Virchows Arch 2025 Aug 5 [Epub]. https://doi.org/10.1007/s00428-025-04139-w. ArticlePubMed
- 19. Baez-Navarro X, van Bockstal MR, van der Made A, van Deurzen CH. A comparison between immunohistochemistry and mRNA expression to identify human epidermal growth factor receptor 2-low breast cancer. Arch Pathol Lab Med 2025; 149: 635-42. ArticlePubMedPDF
- 20. Baez-Navarro X, van Bockstal MR, Andrinopoulou ER, van Deurzen CH. HER2-low breast cancer: incidence, clinicopathologic features, and survival outcomes from real-world data of a large nationwide cohort. Mod Pathol 2023; 36: 100087.ArticlePubMed
- 21. Yue M, Wu S, Wang X, et al. RT-qPCR is helpful to distinguish the clinicopathological features of HER2 immunohistochemistry 0 and 1. Pathol Res Pract 2023; 247: 154532.ArticlePubMed
- 22. Shu L, Tong Y, Li Z, Chen X, Shen K. Can HER2 1+ breast cancer be considered as HER2-low tumor? A comparison of clinicopathological features, quantitative HER2 mRNA levels, and prognosis among HER2-negative breast cancer. Cancers (Basel) 2022; 14: 4250.ArticlePubMedPMC
Citations
Citations to this article as recorded by
